ALICE_2010_S8625980

Back to index

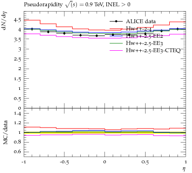
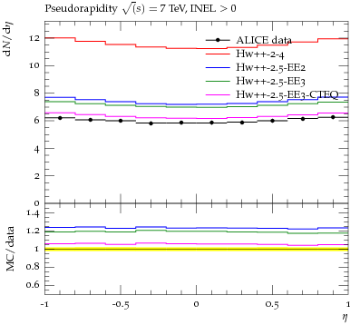
Pseudorapidities at three energies, charged multiplicity at 7 TeV. (ALICE_2010_S8625980)

d03-x01-y01.pdf:
d04-x01-y01.pdf:
d05-x01-y01.pdf:
d06-x01-y01.pdf:

Generated at Sunday, 11. September 2011 06:28PM