ATLAS_2014_I1319490

Back to index

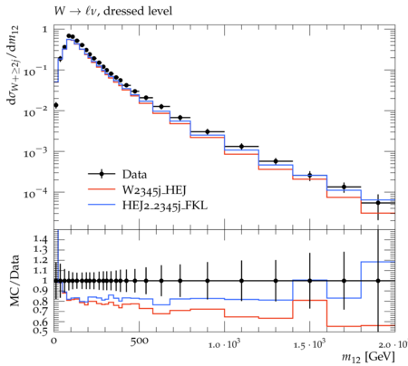
Measurements of cross sections for the production of a $W$ boson in association with jets in proton-proton collisions at $\sqrt{s} = 7$ TeV with the ATLAS experiment at the Large Hadron Collider. With an integrated luminosity of 4.6 $\text{fb}^{-1}$, this data set allows for an exploration of a large kinematic range, including jet production up to a transverse momentum of 1 TeV and multiplicities up to seven associated jets. The production cross sections for W bosons are measured in both the electron and muon decay channels. Differential cross sections for many observables are also presented including measurements of the jet observables such as the rapidities and the transverse momenta as well as measurements of event observables such as the scalar sums of the transverse momenta of the jets. The default routine assumes both muon and electron decay channel of the $W$ boson are being generate and the average will be constructed. Individual lepton channels can be specified using options LMODE=EL and LMODE:MU respectively.

d01-x01-y01:
d04-x01-y01:
d05-x01-y01:
d06-x01-y01:
d07-x01-y01:
d08-x01-y01:
d09-x01-y01:
d10-x01-y01:
d11-x01-y01:
d12-x01-y01:
d13-x01-y01:
d14-x01-y01:
d15-x01-y01:
d16-x01-y01:
d17-x01-y01:
d18-x01-y01:
d19-x01-y01:
d20-x01-y01:
d21-x01-y01:
d22-x01-y01:
d23-x01-y01:
d24-x01-y01:
d25-x01-y01:
d26-x01-y01:
d27-x01-y01:
d28-x01-y01:
d29-x01-y01:
d30-x01-y01:
d31-x01-y01:
d32-x01-y01:
d33-x01-y01:
d34-x01-y01:
d35-x01-y01:
d36-x01-y01:

Generated at Tuesday, 20. August 2019 01:46PM